You are on our Beta Testing Site!
The information & events on this page are for testing purposes and should not be followed.
Click here to return to the production site.

Parallelogram 17 Level 3 25 Dec 2025Chrismaths - Part 4

This is a preview of Parallel. You have to login or create an account, to be able to answer questions and submit answers.

Noun: Parallelogram Pronunciation: /ˌparəˈlɛləɡram/

  1. a portmanteau word combining parallel and telegram. A message sent each week by the Parallel Project to bright young mathematicians.

It’s the end of Christmaths, so here is your last instalment of your Christmaths maths challenge paper!

Simon.

PS: I want to say thank you to the UK Mathematics Trust, who own the copyright to these questions.

5.

3 marks

What is the value of 125+0.25?

  • A) 0.29
  • B) 0.3
  • C) 0.35
  • D) 0.50
  • E) 0.65
  • (Not answered)

We first convert the fraction into a decimal. We multiply both the numerator (the top) and the denominator (the bottom) by 4. This gives:

125=4100.

Therefore, expressed as a decimal, 125 is 0.04.

Hence 125+0.25=0.04+0.25=0.29.

10.

3 marks

A square is folded exactly in half and then in half again.

Which of the following could not be the resulting shape?

  • A)
  • B)
  • C)
  • D)
  • E)
  • (Not answered)

To fold a figure exactly in half we need to fold it along a line of symmetry.

A square has four lines of symmetry, but these are of just two types. There are two lines of symmetry joining the midpoints of opposite edges, and two lines of symmetry joining opposite vertices (see figure 1).

When a square is folded along a line of symmetry joining the midpoints of edges, such as l, the resulting shape is a rectangle whose longer sides are twice as long as the shorter sides (see figure 2). When it is folded along a line of symmetry joining opposite vertices, such as m, the resulting shape is an isosceles right-angled triangle (see figure 3).

The rectangle shown in figure 2 has two lines of symmetry, n and p, joining midpoints of opposite edges. When the rectangle is folded along n, the resulting shape is a square with half the side length of the original square. This is the shape of option A.

When the rectangle is folded along p, the resulting shape is a rectangle whose longer sides are four times as long as the shorter sides. This is the shape of option B.

The isosceles right-angled triangle shown in figure 3 has one line of symmetry, labelled q. When the triangle is folded along this line the resulting shape is a smaller isosceles right-angled triangle. This is the shape of both options C and E.

We therefore see that the shapes of options A, B, C and E can be achieved. Since we have covered all the possible ways of folding the square in half and in half again, it follows that the shape that could not be achieved is D.

15.

3 marks

Take a look at these four expressions below:

  • 13 + 23
  • 13 + 23 + 33
  • 13 + 23 + 33 + 43
  • 13 + 23 + 33 + 43 + 53

How many of these are perfect squares?

  • A) 0
  • B) 1
  • C) 2
  • D) 3
  • E) 4
  • (Not answered)

We find the value of each expression to see which of them are squares. After we have found the value of the one expression, we can find the value of the next expression by adding the extra term to the sum we have already calculated. In this way, we obtain:

  • 13 + 23 = 1 + 8 = 9 = 32.
  • 13 + 23 + 33 = 9 + 33 = 9 + 27 = 36 = 62.
  • 13 + 23 + 33 + 43 = 36 + 43 = 36 + 64 = 100 = 102.
  • 13 + 23 + 33 + 43 + 53 = 100 + 53 = 100 + 125 = 225 = 152.

We now see that all four of the expressions are perfect squares.

Note The first cube 13 is, of course, also a square since 13 = 12. We see from the above calculations that the sum of the first two cubes is square, and so also are the sums of the first three cubes, the first four cubes and the first five cubes. Just from these five examples we cannot deduce that the sum of the first n cubes is always a square, but it looks as though it might be true.

You should not be satisfied until you have found either a proof that this is always true, or a counterexample to show that it is false for at least one positive integer n.

20.

4 marks

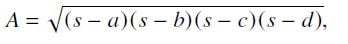
A cyclic quadrilateral has all four vertices on the circumference of a circle. Brahmagupta (598–670AD) gave the following formula for the area, A, of a cyclic quadrilateral whose edges have lengths a,b,c,d:

where s is half of the perimeter of the quadrilateral.

What is the area of the cyclic quadrilateral with sides of length 4 cm, 5 cm, 7 cm and 10 cm?

  • A) 6 cm2
  • B) 13 cm2
  • C) 26 cm2
  • D) 30 cm2
  • E) 36 cm2
  • (Not answered)

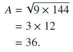
In Brahmagupta’s formula, we have a=4,b=5,c=7 and d=10.

The total length of the perimeter, in cm, is 4 + 5 + 7 + 10 = 26. Therefore s=26÷2=13.

It follows that:

  • s − a = 13 − 4 = 9,
  • s − b = 13 − 5 = 8,
  • s − c = 13 − 7 = 6, and
  • s − d = 13 − 10 = 3.

Hence: sasbscsd=9×8×6×3=9×144.

Therefore:

Therefore the area of the cyclic quadrilateral is 36 cm2.

25.

5 marks

Beatrix places dominoes on a 5 × 5 board, either horizontally or vertically, so that each domino covers two small squares.

She stops when she cannot place another domino, as in the example shown in the diagram.

When Beatrix stops, what is the largest possible number of squares that may be still uncovered?

  • A) 4
  • B) 5
  • C) 6
  • D) 7
  • E) 8
  • (Not answered)

The board has 25 squares. Each domino covers two squares. So, however many dominoes are placed on the board, the total number of squares that are covered will be even. So the number of uncovered squares will be odd.

In particular, it is not possible to have 8 uncovered squares. The diagram shows that it is possible for Beatrice to place 9 dominoes on the board in such a way that she cannot place another domino. This leaves 7 uncovered squares.

As this is the largest odd number given as one of the options, we conclude that D is the correct option.

26. Maths Jokes

Can you match the mathematical joke to the correct punchline?

  • Punchline A: Do you know what the square root of 81 is?
  • Punchline B: Numbers that aren’t divisible by two.
  • Punchline C: Sir Cumference. How did he get so round? He ate too many π’s.
2 marks

26.1 Do you know what seems odd to me?

  • Punchline A
  • Punchline B
  • Punchline C
  • (Not answered)
2 marks

26.2 Who was the roundest knight at King Arthur’s table?

  • Punchline A
  • Punchline B
  • Punchline C
  • (Not answered)
2 marks

26.3 What math problem do German students have trouble answering?

  • Punchline A
  • Punchline B
  • Punchline C
  • (Not answered)

Before you hit the SUBMIT button, here are some quick reminders:

  • You will receive your score immediately, and collect your reward points.
  • You might earn a new badge... if not, then maybe next week.
  • Make sure you go through the solution sheet – it is massively important.
  • A score of less than 50% is ok – it means you can learn lots from your mistakes.
  • The next Parallelogram will appear on Thursday 6 January, at 3pm.
  • Finally, if you missed any earlier Parallelograms, make sure you go back and complete them. You can still earn reward points and badges by completing missed Parallelograms.

Cheerio, Simon.