You are on our Beta Testing Site!
The information & events on this page are for testing purposes and should not be followed.
Click here to return to the production site.

Parallelogram 27 Level 4 5 Mar 2026More Water Jugs

This is a preview of Parallel. You have to login or create an account, to be able to answer questions and submit answers.

Noun: Parallelogram Pronunciation: /ˌparəˈlɛləɡram/

  1. a portmanteau word combining parallel and telegram. A message sent each week by the Parallel Project to bright young mathematicians.
  • Tackle each Parallelogram in one go. Don’t get distracted.
  • Finish by midnight on Sunday if your whole class is doing parallelograms.
  • Your score & answer sheet will appear immediately after you hit SUBMIT.
  • Don’t worry if you score less than 50%, because it means you will learn something new when you check the solutions.

1. Intermediate Maths Challenge Problem (UKMT)

3 marks

1.1 The faces of a regular octahedron are to be painted so that no two faces which have an edge in common are painted in the same colour.

What is the smallest number of colours required?

  • 2
  • 3
  • 4
  • 6
  • 8
  • (Not answered)

Clearly, more than one colour is needed!

On the other hand it is possible to paint the faces of the octahedron using just two different colours, so that each of the faces with an edge in common are painted with different colours.

This is done as shown in the diagram.

2 marks

1.2 What is the smallest number of colours required to paint a tetrahedron?

Correct Solution: 4

A tetrahedron has 4 faces, which all share an edge in common, so you will require 4 different colours.

2 marks

1.3 What is the smallest number of colours required to paint a cube?

Correct Solution: 3

A cube consists of three pairs of opposite faces, so each pair should be a different colour. For example, the top and bottom could be red, the front and back blue, and the left and right faces turquoise.

2. Intermediate Maths Challenge Problem (UKMT)

5 marks

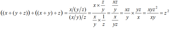
2.1 Which of the expressions below is equivalent to x÷y÷z÷x÷y÷z?

  • 1
  • 1xyz
  • x2
  • y2
  • z2
  • (Not answered)
Show Hint (–1 mark)
1 mark

The expression might be easier to deal with if you translate it into this form:

3. More about water jug puzzles (part 1)

Last week, we looked at the Die Hard movie that featured a water jug puzzle. This week, we’re going to look at some trickier water jug puzzles.

For starters, take a look at this puzzle: can you deliver 6 litres of milk if you have containers of size 12 litres, 8 litres and 5 litres?

(If you have problems watching the video, right click to open it in a new window)

2 marks

3.1 In the solution given in the video, what volumes of liquid are in the 12, 8 and 5 litre jugs just before the problem is solved, i.e., just before one of the jugs contains 6 litres?

  • 3, 7 and 2 litres
  • 2, 7 and 3 litres
  • 1, 7 and 4 litres
  • 1, 8 and 3 litres
  • 1, 9 and 2 litres
  • (Not answered)

4. More about water jug puzzles (part 2)

The Geeks for Geeks website sets the following problem:

We have two water jugs. One measures 4 gallons (4G), while the other measures 9 gallons (9G) when full, but there are no increments marked on either, so we cannot directly measure out any other volume of water using these jugs. Now, assuming there is an infinite amount of water supply, is it possible to measure out 1 gallon, 2 gallons, 3 gallons,… all the way up to 9 gallons of water using these unmarked jugs?

Hint: We can empty the jugs, and transfer water from one jug to other.

The answer is “yes”, you can measure out all the volumes from 1 to 9 Gallons, but can you work out how? See how many of the volumes you can figure out. Once you have spent 5 minutes on this, you can find the full solution at the Geeks for Geeks website. Then answer this question.

2 marks

4.1. According to the Geeks for Geeks solution, on their own website, if we want to measure out 3 Gallons, how many times do we need to fill the 4 Gallon jug?

  • 1 times
  • 2 times
  • 3 times
  • 4 times
  • 5 times
  • (Not answered)

5. More about water jug puzzles (part 3)

Finally, take a look at this video by the Mathologer, otherwise known as Professor Burkard Polster at Monash University in Melbourne, Australia. He starts by looking at the original “Die Hard” problem, and then goes on to use an interesting billiard table technique to solve the problem.

This is a 14-minute video, and it goes into more depth than most videos featured in Parallelograms, but I would really encourage you to watch all of it and try to understand the method being described. You might have to pause and repeat some sections in order to understand what the Mathologer is saying, but I promise you it is worth persevering.

(If you have problems watching the video, right click to open it in a new window)

Once you have watched the video, answer the questions below.

2 marks

5.1. When a billiard table is used to represent a water pouring puzzle, the lengths of the sides represent the sizes of the jugs.

  • True
  • False
  • (Not answered)
2 marks

5.2. With 5 and 3 gallon jugs, we can measure out volumes of 1, 2, 3, 4 and 5 gallons. Assume that you have an unlimited supply of water from a tap, and you can pour out and waste as much water as you like.

  • True
  • False
  • (Not answered)
3 marks

5.3. With 15 and 6 gallon jugs, we can measure out volumes of 1, 2, 3, 4 and 5 gallons. Assume that you have an unlimited supply of water from a tap, and you can pour out and waste as much water as you like.

  • True
  • False
  • (Not answered)
3 marks

5.4. With 5 and 3 gallon jugs, we can measure out volumes of 3, 6, 9, 12 and 15 gallons. Assume that you have an unlimited supply of water from a tap, and you can pour out and waste as much water as you like.

  • True
  • False
  • (Not answered)
1 mark

5.5. What happened to Simon (the villain) in the actual film?

  • He went to prison
  • He died
  • (Not answered)

Before you hit the SUBMIT button, here are some quick reminders:

  • You will receive your score immediately, and collect your reward points.
  • You might earn a new badge... if not, then maybe next week.
  • Make sure you go through the solution sheet – it is massively important.
  • A score of less than 50% is ok – it means you can learn lots from your mistakes.
  • The next Parallelogram is next week, at 3pm on Thursday.
  • Finally, if you missed any earlier Parallelograms, make sure you go back and complete them. You can still earn reward points and badges by completing missed Parallelograms.

Cheerio, Simon.